АЗИНДЕР

Кыргыз Энциклопедия Жана Терминология Борбору дан
Jump to navigation Jump to search

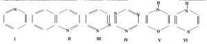
АЗИНДЕР – циклде көмүртек атомдорунан тыш­кары эң кеминде бир атом азоту бар бирикме­лер. Гетероциклинде бир атом азоту бар Азиндерге пиридин (I) жана хинолин (II); эки жана андан көп атом азоттууларга диазиндер (III) жана триазин­дер (IV) кирет. Ядродо азоттон тышкары башка гетероатомдору бар Азиндерге оксазин (V) жана тиазин (VI) таандык:

АЗИНДЕР31.png

Азиндер негиздик касиетке ээ, кислоталар менен туздарды пайда кылат. Алар түрдүү медициналык каражаттарды, ууландыруучу газдарды, баалуу азин боёкторун алууда колдонулат. Азиндердин көпчүлүгү тирүү орга­низмге эң керек ДНК менен РНКнын негизги ку­рамын түзөт.