АНЫКТАЛБАГАН КОЭФФИЦИЕНТТЕР МЕТОДУ

Кыргыз Энциклопедия Жана Терминология Борбору дан
14:16, 6 Июнь (Кулжа) 2022 карата Kadyrm (Талкуулоо | салымдары) (1 версия) тарабынан жасалган версия
Jump to navigation Jump to search
туюнтманын жалпы түрү алдын ала белгилүү болгон учурдагы анын белгисиз коэффтерин табуу ыкмасы. Р(х) ж-а Q(x) алг. көп мүчөлөрдөн турган

Failed to parse (syntax error): {\displaystyle Q(x)/P(x)/math> түрүндөгү дурус бөлчөгүн (алымынын даражасы бөлүмүнүкүнөн кичине) чектүү сандагы жөнөкөй бөлчөктөрдүн суммасы <br> <math> Формула 5}

Формула 5

түрүндө туюнтууга болот, мында А,В,С, a,p,q чыныгы сандар ж-а х2 + рх + q квадраттык үч мөчү сү чыныгы тамырга ээ болбойт. Мис.,

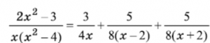
рационалдык туюнтмасы

дөгү бөлчөктөрдүн суммасына ажырайт. А, В, Сны табуу үчүн эки туюнтманы барабарлап

ЖалПЫ 6ӨЛҮМДӨН Ку-
тулуп, окшош мүчөлөрүн топтоп, жөнөкөйлөштүргөндөн кийин 2 -3 = (А + В + С)х2+ 2(В -С)х - 4А түрүнө келет. Бул барабардык хтин бардык маанилеринде туура, ошондуктан х тин бирдей даражага ээ болгон мүчөлөрүнүн коэфф-
тери барабар болот. Анда:
Failed to parse (syntax error): {\displaystyle Формула 6.1}

Формула 6.1

системасын чыгарып А = 3/4, В' = 5/8, С = 5/8 маанилерин табууга болот. Берилген туюнтманын ажыратылып жазылышы:Failed to parse (syntax error): {\displaystyle Формула 6}

Формула 6

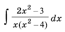
А.к.м. дифференциалдык теңдемелерди чыгарууда, рационал­дык функцияларды интегралдоодо, көп мүчөнү көбөйтүүчүлөргө ажыратууда, сандык методдордо ж. б. маселелерде кеңири колдонулат. Мис., :Failed to parse (syntax error): {\displaystyle Формула 7 }

Формула 7

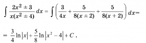
интегралынын жогоркудай ажыралышы пайдаланылганда, төмөнкүдөй интегралданат: :Failed to parse (syntax error): {\displaystyle Формула 8}

Формула 8

Ад.: Фихтенголъц Г. М. Курс дифференциального и интегрального исчисления. Т. 2.М., 1969; Смирнов В. И. Курс высшей математики. М., 1974.
Б. Э. Назаркулова.